![]()
Course Chapters
Section Tests
Online Calculators Linear Least Squares Regression Newton's Method Equation Solver
Related Information Links
|
Balancing Equations Using MatricesNOTE: this application requires that you have a calculator capable of doing MATRICES. Most if not all graphical calculators have this capability. This reading uses the Texas Instrument TI-82 Graphical Calculator as an example.
Early on in your chemistry studies, you will have ample opportunity to balance equations! This is a fundamental skill in chemistry, as you might have noticed from the short reading in stoichiometry! Balancing equations means writing chemical equations such that the amount of stuff you start with in the reaction equals the amount of stuff you end up with as a product. In other words, if I start baking bread with 10 pounds of flour, I should end up with 10 pounds of bread, unless some is lost onto the floor or if some of it goes up in smoke! A simple example goes a long way. We can form water by combing hydrogen gas (H2) and oxygen (O2) in the presence of electricity. The reaction looks like this:
If you do some of the gram molecular weight calculations you will find this:
They're not lost, we just haven't balanced the equation! You might have also noticed that there are two oxygens on the left and only one on the right! We need to get things in the correct proportions for this reaction to be balanced. The balanced reaction looks like this:
This says that we need two hydrogen molecules to combine with one oxygen molecule to form two new water molecules. If we do the math:
Balancing equations is an art, but if you have a calculator that can handle what is known as a "matrix", you have a foolproof way of balancing equations! A matrix is a group of numbers, arranged in rows and columns, like this:
![]() This is called a "2 by 2" or "2 x 2" matrix, because it has two rows (going across) and two columns (going down). In this application, you will have to do three matrix operations:
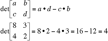
Fortunately, graphing calculators make this particularly easy! To help you understand a little of what you are doing, let's explain finding the determinant. The determinant is a single number generated by cross-multiplying the terms in the matrix. You must have a square matrix (n X n) to be able to find the determinant. The equation for finding the determinant is:
![]() The example below the equation shows a sample calculation for a 2 x 2 matrix. Notice that you are cross multiplying the opposite terms, then subtracting out the other set of opposite set of multiplied terms. Pretty easy. Here is how this is done on the TI-82 Graphical Calculator. These instructions are SPECIFIC to the TI-82:
Now we are ready to talk about balancing equations. Let's choose a simple reaction:
We have two different elements, Cr and O, so we will need two different equations. We are trying to calculate the values of a, b, and c, the coefficients of the reaction. The two equations look like this:
Cr: 1a + 0b = 2c The "1a" means that there is one Cr behind the "a" coefficient, zero Cr's behind the "b" coefficent, and 2 Cr's behind the c coefficient. We use the same technique for oxygen. We now have two matrices (called Matrix A and Matrix B):
![]() To obtain the values of a, b, and c, do these steps:
Here is how to do the first step:
To do the second part, calculating c:
The balanced equation is now:
Try It Out
|
Shodor
Copyright © 1996-2008 Shodor
Please direct questions and comments about this page to
WebMaster@shodor.org